solving system of coupled odes with odeint
An answer to this question on Stack Overflow.
Question
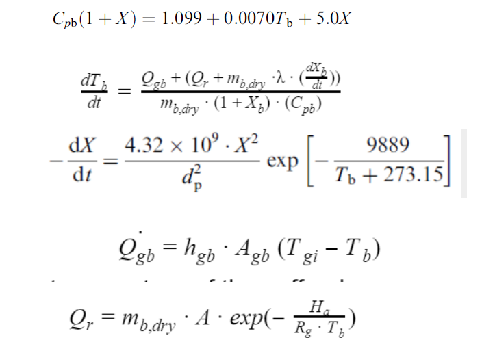
I'm using a system of ode's to model coffee bean roasting for a class assignment. The equations are below.

The parameters (other than X_b and T_b) are all constants.
When I try to use odeint to solve this system, it gives a constant T_b and X_b profile (which conceptually doesn't make sense).
Below is the code I'm using
from scipy.integrate import odeint
import numpy as np
import matplotlib.pyplot as plt
# Write function for bean temperature T_b differential equation
def deriv(X,t):
T_b, X_b = X
dX_b = (-4.32*10**9*X_b**2)/(l_b**2)*np.exp(-9889/T_b)
dT_b = ((h_gb*A_gb*(T_gi - T_b))+(m_b*A_arh*np.exp(-H_a/R_g/T_b))+
(m_b*lam*dX_b))/(m_b*(1.099+0.0070*T_b+5*X_b)*1000)
return [dT_b, dX_b]
# Establish initial conditions
t = 0 #seconds
T_b = 298 # degrees K
X_b = 0.1 # mass fraction of moisture
# Set time step
dt = 1 # second
# Establish location to store data
history = [[t,T_b, X_b]]
# Use odeint to solve DE
while t < 600:
T_b, X_b = odeint(deriv, [T_b, X_b], [t+dt])[-1]
t += dt
history.append([t,T_b, X_b])
# Plot Results
def plot_history(history, labels):
"""Plots a simulation history."""
history = np.array(history)
t = history[:,0]
n = len(labels) - 1
plt.figure(figsize=(8,1.95*n))
for k in range(0,n):
plt.subplot(n, 1, k+1)
plt.plot(t, history[:,k+1])
plt.title(labels[k+1])
plt.xlabel(labels[0])
plt.grid()
plt.tight_layout()
plot_history(history, ['t (s)','Bean Temperature $T_b$ (K)', 'Bean Moisture Content $X_b$'])
plt.show()
Do you have any ideas why the integration step isn't working?
Thank You!!
Answer
You're repeatedly solving the system of equations for only a single timepoint.
From the odeint documentation, the odeint command takes an argument t which is:
A sequence of time points for which to solve for y. The initial value point should be the first element of this sequence.
Since you pass [t+dt] to odeint, there is only a single timepoint so you get back only a single value which is simply your initial condition.
The correct way to use odeint is similar to the following:
output = odeint(deriv, [T_b, X_b], np.linspace(0,600,600))
Here output, again according to the documentation is:
Array containing the value of y for each desired time in t, with the initial value y0 in the first row.